Home Favorites My Account Menu
acceso
Playwire Anuncio

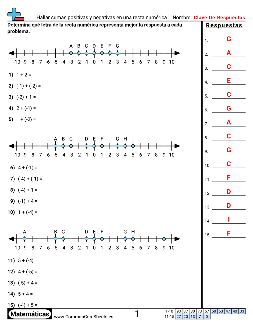
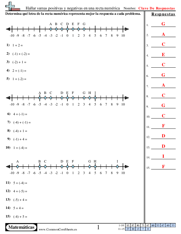
Ejercicios de números negativos

Hojas de trabajo gratuitas de números negativos con clave de respuestas. No se necesita iniciar sesión ni crear una cuenta. Desde identificar el valor absoluto de un número hasta sumar y restar números negativos, te tenemos cubierto. Una columna de calificación y un creador rápido de escalas de calificación hacen que calificar sea muy fácil, y las páginas modificadas ayudan a estudiantes de nivel más bajo o cuando apenas se está introduciendo un tema. Excelente para maestros o para educación en casa.

Image Size
×

Determinando el valor

Enlace
Anuncio

Suma y resta

Enlace
Anuncio

Multiplicación y división

Enlace
Playwire Anuncio