Home Favorites My Account Menu
acceso
Anuncio

Descargar hoja de trabajo

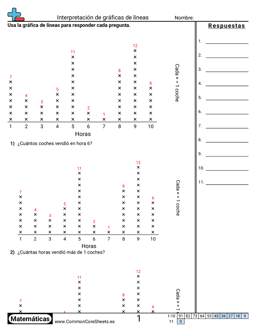
Hojas de trabajo gratis de math para 3er Grado (3md4) sobre Interpretación de gráficas de líneas. Cada hoja tiene 11 ejercicios con hoja de respuestas y es ideal para maestros y educación en casa. Puedes descargar el PDF, crear tarjetas de memoria o configurarlo para aprendizaje en línea.

Select a Different Activity >
Información de la hoja >
Interpretar un diagrama de líneas
Abrir PDF
personalizar Vista previa
Abrir en nueva ventana
Seleccionar hoja de trabajo
paginas
idioma
Select Problem Type
Personalizar problemas
×
Escribe
Save
Diseño de hoja>
Seed
título
Instrucciones
Numero de problemas
Fecha de entrega
Incluir estándar en hoja
Fuente
Tamaño de la fuente pt
Espacio mínimo debajo de los problemas mm
Columna de respuesta
Problem Number
orientación de la página
Anuncio